등가회로모델링을 위한 Topology 설정을 위해 R,L,C에 대한 직관적인 해석을 위해
기본적인 R,L,C 의 특성에 대한 설명의 마지막이다.
인덕터는 특별한 이유없이는 거의 사용하진 않는다. 주로 커패시터를 사용!
하지만 SI 측면에서는 인덕터가 매우 중요하다. ( 고주파에서 임피던스가 크게 발현되기 때문)
임피던스 불연속점을 만나면 신호전달에 문제, 커플링 문제, 전원분배망의 연결구조의 문제 등등 .. 과 관련이 있다.
Inductance :

하지만,SI 측면에서 인덕턴스를 Field 관점에서 바라보게 된다면, 너무 복잡해진다.
따라서 3개의 Fundermental principle 만 알고 있다면 인덕턴스에 관한 기본을 이해할 수 있다.
PRINCIPLE 1. Circular ring 이 존제하면 그 주위에는 자기장이 존재한다.
PRINCIPLE 2. 전류가 흘러가는 Conductor 가 존재할 때
단위 암페어 당 자기장 라인의 개수에 비례해서 인덕턴스를 정의할 수 있다.
PRINCIPLE 3. 자기장 라인의 개수가 시간에 따라 변하면, couductor 양단에 전압이 생긴다.
PRINCIPLE 1: THERE ARE CIRCULAR RINGS OF MAGNETIC-FIELD LINES AROUND ALL CURRENTS
"Circular ring 이 존재하면 그 주위에는 자기장이 존재한다"고 했다.
전류의 방향은 엄지, 자기장의 방향은 남은 손가락의 방향이다.
이 정돈,, 다 알겠지

자기장 라인의 개수 = 자속 = magnetic Flux [Weber] 이라면,
자기장은 어디에 영향을 받을까?
- 전류의 양 : 전류가 세지면 자기장도 세지고, 그곳에 기인하는 인덕턴스도 세진다.
- wire의 길이 : 길이가 길수록 자기장이 세진다.
- 도선의 단면적 : 도선의 단면이 얇을수록 인덕턴스가 크다. => significant effect는 아님!
- 유전체는 자기장의 형성에 영향을 주지않음 -> 인덕턴스와 무관
강자성체는 자기장이 변화하게 되면서 영향을 끼침
PRINCIPLE 2: INDUCTANCE IS THE NUMBER OF WEBERS OF FIELD LINE RINGS AROUND A CONDUCTOR PER AMP OF CURRENT THROUGH IT
우리가 생각하는 직관적인 인더턴스는 무엇일까?
: 단위 전류에 의해 나타나는 자속의 양 [ Henry]

여기서 주의해야할 점이 전류에 의해 발생하는 자속이기에 전류가 커진다고 해도 인덕턴스가 커지는 것은 아니다.
인덕턴스는 전류가 통과하는 물리적설계에 의해서 결정된다.
PRINCIPLE 3: WHEN THE NUMBER OF FIELD LINE RINGS AROUND A CONDUCTOR CHANGES, THERE WILL BE A VOLTAGE INDUCED ACROSS THE ENDS OF THE CONDUCTOR
자기장 라인의 개수가 시간에 따라 변하면, couductor 양단에 전압이 생긴다고 했다.

최종적으로 다음과 같은 식이 성립한다.

Self-Inductance , mutual-Inductance 이건, 양단의 전압차가 발생할 수 있다.
전압의 방향은 전류의 흐름을 방해하는 방향으로 흐른다. = 인덕턴스는 전류의 변화를 방해한다.
자기장 차이 -> 전압 차 ( crosstalk) -> 신호의 왜곡

인덕턴스가 어케 정의하냐에 따라서 종류가 달라진다. 예를 들면
case 1. Source 에 따른 분류
Source 가 생기면 그 주위에는 자기장이 존재한다
===> Source 에따라 우리는 Self-Inductance , mutual-Inductance 로 정의한다.
case 2.전류에 따른 분류
전류의 loop 의 전체 인덕턴스를 보면 loop - Inductance , 한 파트만 보면 partical - Inductance
case 3. 연결구조에서 발생하는 모든 인덕턴스를 합한 것
total - Inductance , net-Inductance , effective-Inductance
case 1. SELF-INDUCTANCE AND MUTUAL INDUCTANCE
Source 에따라 우리는 Self-Inductance , mutual-Inductance 로 정의한다.
도선 a를 기준으로 본다면 Self-Inductance , mutual-Inductance 로 볼 수 있다.
Self-Inductance 는 독립적이기에, 본인만 존재한다면 정의할 수 있다.
mutual-Inductance 는 symmetric 하여 서로에게 미치는 영향이 같다.
Always Self-Inductance > mutual-Inductance

만약, 도선 b 를 멀리 떨어뜨린다면, mutual-Inductance 가 줄어들면서 인덕턴스가 줄어들게 된다.
TOTAL INDUCTANCE
Self-Inductance + mutual-Inductance = total Inductance 이며,
total이라고 해서 무조건 양수인 것은 아니며, 전류의 방향에 따라 상쇄되기도 한다.
case 2. PARTIAL INDUCTANCE
전류는 loop의 형태로 존재하며, loop의 특정 부분에서 왜곡이 발생하게 된다.
전체 인덕턴스를 보면 loop - Inductance , 한 파트만 보면 partical - Inductance
우리가 설계하는 디지털 시스템의 전체를 해석하기가 힘들기에 거의 partical - Inductance를 이용한다.
특정부분의 인덕턴스를 해석하기 위해 partical - Inductance를 이용할 때
해석하는 부분을 제외한 부분은 없다고 가정한다. -> 수학적인 컨셉, 인위적인 추출
partical - Inductance는 partical self - Inductance , partical mutual- Inductance 로 나누어진다.
개념은 동일하다. 하지만 모두 특정 섹션을 뽑아낼 수 있다는 것이 partical - Inductance의 특징이다.
ex) 도선에서 일부분만 섹션을 추출했다. 이럴 때 partical self - Inductanced이며 눈치껏 r과 반비례하는 것을 알 수 있다.

만약, an engineering change wire is typically 30-gauge wire, or roughly 10 mils in diameter. For a length that is 1 inch long 이라면

cf) 1인치의 도선이면 약 25nH 의 인덕턴스를 갖는다.
case 3. EFFECTIVE, TOTAL, OR NET INDUCTANCE AND GROUND BOUNCE
그림과 같은 전류 loop가 존재한다.
만약 a에서 시작을 한다면 b 방향은 다시 돌아오는 Return path 가 될 것이다.
도선과는 다르다, 현재 a에서 흐르는 전류가 b로 흐른다는 점을 유의해야한다.

똑같이 a,b 모두 동일하게 partial [Self-Inductance , mutual-Inductance] 를 가지고 있다.
a,b 사이에 작용하는 mutual-Inductance 는 항상 같기에 == symmetric , 크기가 같은거고 방향은 다름
전체 toal Flux 는 다음과 같다.

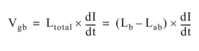
결과론적으로 a,b 사이에 전압 차가 발생하게 되고, 그 전압 차이를 ground Bounce 라고 한다.
원래 접지라고 한다면, 안정적으로 유지되어야 하는데 전압차가 생겼기에 ringing 이 발생할 수 있다는 것이다.

ground Bounce 를 감소시키는 방법은 다음과 같다.
1. 전류의 변화량을 줄인다.
2. total - Inductance ( Lb - Lab) 를 줄이면 된다.
Lb를 감소시킨다. : cross-section area 를 증가시킨다. = R 을 늘린다 = 굵은 도선을 쓴다.
Lab를 증가시킨다. : a,b 도선을 가까이 배치한다.
만약, 도선 a,b 가 독립적이라면 (전원선 or 접지선 같은 경우)
Lb - Lab 가 아니라 Lb + Lab 가 된다.
다음의 그래프를 확인하면
두 도선사이거리가 멀어질 수록 mutual-Inductance는 감소하며 Self-Inductance는 r에 관련있으니 일정하다.
방향이 반대면, Lb - Lab 이니깐 점점 커지고, [ 신호선 ]
방향이 같으면, Lb - Lab 이니깐 점점 작아진다. [ 전원선 or 접지선 ]
이를 설계에 어케 적용할 수 있을까?
전원선 - 접지선 사이에 Decap 을 배치한다.
이때 total Inductance ( Lb - Lab) 를 줄이려면,
Lb 줄이고, Lab 키워야 하니깐,
같은 방향(S2)에서는 비아의 거리를 멀리, 다른방향(S1)이라면 비아를 가깝게 배치해야한다.

LOOP SELF- AND MUTUAL INDUCTANCE
partial 과 같이 특정 섹션이 아닌, 전체 loop에서의 인덕턴스를 확인해보자.
전체니깐 당연히 self끼리 더하고, mutual 은 빼주면 된다.
